Heavy Operations

The Core Rules primarily focuses on Freelancer scale actions and combat. Vehicles and Spacecraft add a new layer of complexity that needs to be considered.

Table of Contents

Vehicle, Spacecraft, Starship

Heavy equipment is a general catch-all for equipment that is not immediately Freelancer portable. Heavy equipment is an investment as they require more maintenance down time than other equipment but has a variety of uses other than just taking the team from mission to mission.

Distinct Differences

‍ ‍Vehicles refer to heavy equipment that can only function on-world. They are extremely common and relatively cheap in comparison to other heavy equipment. Spacecraft can operate in-atmosphere but primarily function in-system with no innate superluminal ability but can still travel as part of ferries or through irreal-gates. Starships are massive and are noted for having their own star-drive. Starships are not available through the Freelancer Handbook because of cost and complexity of operating.

Heavy scales

On the table, heavy equipment operates on a different scale to the Freelancer. In the details for vehicle and spacecraft movement, it will be noted specifically, but vehicle scale is 3m per hex (twice that of the Freelancer) while spacecraft is 15m per hex (ten times that of the Freelancer).

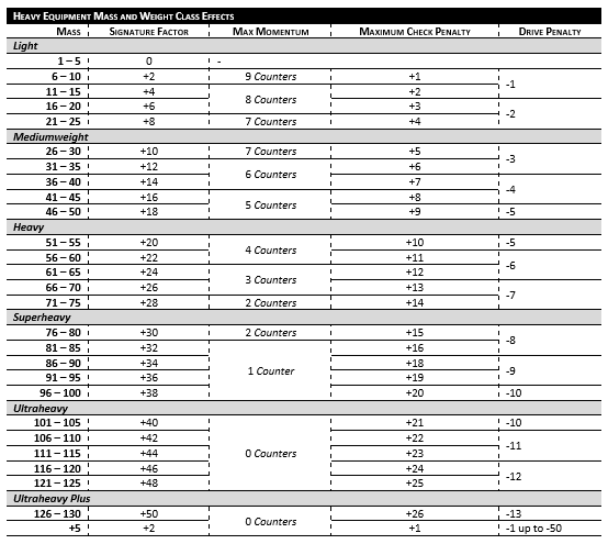
Mass

Mass is the general weight of heavy equipment. As it gets heavier, their Mass increases.

Weight Class

Heavy equipment’s Mass determines its weight class. Weight class is a general description of a heavy.

Static Defense

Heavy equipment cannot generally dodge in response to an incoming attack, the heavy has a static defense score that the attack must meet or exceed on an attack to hit which is determined, by its size.

Max Momentum

According to Mass, the heavy has a maximum number of momentum counters before it becomes difficult to control.

Check Penalty

When attempting to maneuver or make any pilot checks, the Mass of the heavy equipment creates a penalty added to the die roll itself for each momentum counter beyond its max momentum up to the maximum penalty.

For example, a vehicle with a mass of 24 (light) has 15 momentum counters making the pilot check a d100 + 4 as +4 is the maximum check penalty for that Mass.

Movement

Movement for heavy equipment can be seen in two layers similarly to Freelancers. There is cruise and tactical movement. Cruise movement is fast and meant for long distance travel while tactical movement is much slower and meant for complex maneuvers like you would have in combat.

Cruise

This is the maximum speed the heavy can move. The heavy equipment cannot move faster than its maximum cruise speed. For vehicles, this speed is in kilometers per hour, or kph, but for spacecraft, this speed is in percent speed of light, PSL.

  • Stacking: Having multiple drives, the heavy equipment will move at the full cruise speed of the fastest drive and then add half the speed of each additional drive.

Tactical Movement

Movement for heavy equipment operates with headings and thrust. These are determined by the pilot during their turn and would take their action, with penalties applied due to outside circumstances and the mass of the heavy itself.

Scale

The combat grid is in hexes. At Freelancer scale, once hex is 1.5 meters, but hexes are much larger at heavy scales with one hex being 3 meters at vehicle scale and 15 meters at spacecraft scale.

Thust, Headings, and Orientation

A heavy, in most cases, moves by acquiring thrust. The thrust has a heading or direction, and that thrust is converted into momentum that determines the direction and speed that the heavy is going to be moving at until acted otherwise.

Unless stated otherwise, this movement and heading is independent of the heavy’s actual orientation.

Thrust

Drives have a drive rating which is the maximum thrust the heavy’s drive can generate minus its drive penalty due to its Mass and can be referred to as its thrust pool. The drive’s trust rating is how many thrust counters in its thrust pool that can be converted into momentum counters in a single turn.

  • Breaking: To stop, momentum counters need to be removed. Applying thrust in the opposite direction will remove momentum counters or even net reverse the heavy’s direction.

  • Stacking: Multiple drives may be used on the same heavy in order to compensate for its higher Mass. The drive penalty is applied to the total drive rating of all active drives as they pool their drive rating and their thrust rating when active.

Heading

When thrust becomes momentum, the heavy is moving in a specified direction. For each momentum counter it possesses, it moves one hex in that direction (the number of meters is dependent on the scale).

Orientation

The direction the nose is pointing does not necessarily have to correspond to the heading of the heavy equipment. Changing the orientation of a heavy costs one thrust of movement without turning it into momentum.

Momentum and Upkeep Movement

Thrust from the thrust pool converts into momentum counters when applied, however, the heavy does not move per momentum counter until the beginning of the upkeep.

Three-Dimensional Movement

Many heavies are able to operate in three dimensions. This creates a relative altitude between different heavies.

Altitude Marker

The altitude maker notes the relative altitude compared to the lowest object (which is at 0). When the heavy increases altitude, it would increase its marker and vis versa.

If the heavy drops below the reference object, it becomes the new reference point and the other altitude markers adjust instead. Each point on the marker is one hex so it scales appropriately to the heavy equipment.

Lowest Object

Establishing the lowest object as a point of reference for the other altitudes. In the combat space, it can be another heavy.

All altitudes are marked from that object. If another heavy is not on the same plane as the reference, it gains a marker for altitude for each hex above that plane.

Moving Reference

If the reference object changes altitude, all other objects adjust their altitude marker. If the reference moves lower, increase the altitude marker for the other objects accordingly. If the reference moves higher, decrease the altitude marker for the other objects.

If the reference moves and is no longer the lowest, the object that has their marker at 0 becomes the new reference marker and the original reference increases their altitude marker and the other markers remain the same.

Diagonal Movement

Diagonal movement is lateral movement through the plane with a corresponding change in altitude. This is easily achieved. Using the table, total the drive’s available thrust and find that value on the table. Any combinations of values below will give the lateral and horizonal movement in hexes.

For example, if the drive grants 13 trust, it can move in one direction 11 hexes and another 6 hexes or 2 and 13 and so on.

Piloting

Depending on the heavy, the nuance may change, however, in general, piloting checks are required when performing specific maneuvers.

With the pilot’s move-action, they set the heavy equipment thrust and heading with a pilot check but with a penalty added to the die if the heavy is moving faster than its max tactical speed.

Every upkeep, the heavy will move one hex per momentum counter in the direction.

Collision

Heavies collide if they are entering a space that is occupied. Both the heavy equipment and the object or entity occupying it take damage.

Converging Collision

When both heavies are moving towards each other, they are converging.

When determining the damage, it is multiplied by the combined momentum of all involved and then multiplied by the other’s die. (if not heavy equipment, the die is a d4).

‍ ‍

For example, if heavy 1 and heavy 2 are ramming into each other, the momentum of both is totaled. Heavy 1 will take heavy 2’s damage die and multiply it by the total momentum while heavy 2 will take heavy 1’s die and multiply it by the total momentum. Since this is structural damage, all the damage converts directly into structural damage counters for both.

Overtake Collision

When both heavies are moving in the same general direction but one overtakes the other, it is an overtake collision.

Similar to the converging collision, each heavy deals its damage die to the other, however, instead of multiplied by the total of the two, it is multiplied by the difference in momentum between the two.

For example, if heavy 1 has 5 momentum counters and heavy 2 is overtaking them and has 8 momentum counters, the damage dealt is multiplied by 3 (eight minus five).

Intercepting Collision

When a heavy is colliding with another from the side, the heavy is intercepting.

In an interception, the heavy doing the interception treats the other heavy as stationary and only multiplies the damage between them by the moving heavy.

Complex Collision

If more than one heavy is colliding at a time, then the collision is complex and needs to be resolved as if each collision was individual.

Pushing

After a collision, the heavies are going to be changing direction. This is a combination of individual momentum and mass. Take the difference between the momentum counters, subtracting the higher (fastest) from the lower (slowest), between the two heavies and the difference between the drive penalty between them, subtracting the highest (the heavier) from the lowest (the lighter). And that is both heavy’s new thrust heading.

For example, if heavy 1 had 8 momentum counters and a drive penalty of 3 and was converged with heavy 2 with 10 momentum counters but a drive penalty of 4 the new total momentum would be 2 in heavy 2’s heading, heavy 2 his heavier than heavy 1 so its drive penalty reduce the momentum by 1 in that direction meaning momentum is now 1. The two heavies would now be moving in heavy 2’s original direction with 1 momentum counter.‍ ‍

Combat

Combat functions slightly differently due to the size and scale.

Gunner

The gunner uses their base-action to make the attack check. No more than one gunner can be at a heavy’s weapon at a time preventing multiple gunners attacking with the same weapon.

Firing Arcs

Heavy equipment mounted weapons have an arc that the weapons can attack in making the heavy’s orientation and position important. All weapons have a minor ability to adjust their firing angles, but they are limited in their total arcs.

There are eight types of firing arcs, six of them are directional while two have special targeting.

Directional Arcs

In three dimensions, arcs are shaped more like cones. They can target anything within that cone.

Forward arcs is the cone in front of the vehicle. Rear or aft arcs are behind the vehicle respectively. Side arcs are on the left (port) or right (starboard) side of the vehicle. Top or dorsal of a vehicle is above it and bottom or ventral is below it.

Full Arc

Full arch attacks will target any space within its hemisphere, except for its opposite arc. For example, dorsal full arc can target anything other than targets on the ventral arc.

Fixed Arc

Some weapons are so powerful that they cannot effectively adjust their angles nor be mounted to turrets. These weapons are fixed to the heavy and can only fire in a straight line from its fixed point. Such as a forward fixed mounted weapon can only attack at targets directly in front of it.

Targeting

A weapon mounted to a vehicle notes the arc it is on. Guided weapons like missiles normally don’t care about where it is mounted. Weapons can only attack targets within range and within the arc.

Range

The range classifications are similar to that at Freelancer scale, however, due to the size difference, the weapon ranges are slightly different. With a +3 to the attack roll for every 2 hexes beyond the maximum range.

Vehicle Operations

Vehicles are used on-world and are the most common heavy equipment that most Freelancers end up getting for its cost and utility.

Vehicle Scale Mass

Vehicle scales is larger than Freelancer scale but is much smaller than spacecraft scale with one hex equaling 3 meters. This scale allows for more vehicles to fit on the table while still allowing for Freelancers meaningful movement on the table.

Cruise

The cruise speed of a vehicle is measured in kilometers per hour, kph, with the average top speed of around 300 kilometers per hour.

Cruise Collision

Collisions at full cruise speed is devastating. Instead of multiplying it by the momentum counters, the collision damage is multiplied by the speed of the vehicle itself.

Thrust Heading and Orientation

For vehicles, when applying thrust, the vehicle will move in the direction of its orientation but can only apply half the thrust in any other direction.

Once it’s moving, it can reorient itself while maintaining its current heading allowing for strafing like movements.

The specifics of this movement will be described in the vehicle’s drive.

Spacecraft Operations

Spacecraft can both be a means of transportation and a basic home base for the team.

Spacecraft Scale Mass

Spacecraft are some of the largest heavy equipment that a Freelancer can own and is usually invested into as a team. The scale of spacecraft is 15 meters per hex.

Cruise Speed

A spacecraft, when not in combat, negotiating port traffic, or in atmosphere; normally moves its cruise speed. Cruise speed is marked as percent speed of light (PSL).

The cruise speed of a spacecraft is fast enough to go around a star system but is far too slow for interstellar travel.

Cruise Collision

Unlike vehicle scale cruise collision, traveling even at 0.5PSL is guaranteed fatal. Both the spacecraft and whatever it collided with is destroyed.

Relativistic Kill Vehicle

At 0.5PSL, the object has entered relativistic speeds, and while fatal if used as a weapon, it is difficult to deploy because of how hard it is to guide the weapon at those velocities and how easy it is to eliminate the vehicle with something as simple as a heavy flack field.

Drives and Thust Vectors

Spacecraft usually have two types of drives, a heavy engine that will provide the majority of the spacecraft’s thrust, and a Reaction Control System, or RCS, that allows the spacecraft to reorient themselves and perform extremely fine maneuvers.

‍ ‍
Heavy Engine Thrust Vector

Similar to weapon arcs There are six general vectors that can hold a heavy engine. When engaged, the drive will produce thrust and move the spacecraft in the opposite direction (aft thrust vector pushes the spacecraft forward).

While engaged, the RCS can steer and maneuver the spacecraft.

Reaction Control System

The spacecraft’s RCS allows the spacecraft to reorient without the need for the spacecraft to engage its heavy engines. RCS are less powerful, but more efficient. A single RCS system does not need a thrust vector to operate.

‍ ‍

Heading versus Orientation

The spacecraft, due to its zero-gravity environment, only cares about its orientation when engaging its heavy engines to align its thrust vector with the direction that the pilot wishes to go. Conservation of momentum will allow the spacecraft to continue its thrust heading (direction and speed) even if the spacecraft is no longer in that orientation.

Previous
Previous

Combat